JBJS|武汉协和医院刘国辉教授团队描述骨折合并新冠肺炎患者的临床特征
2020-04-03 作者:华中科技大学同济医学院附属协和医院 米博斌 我要说
2020年4月3日,华中科技大学同济医学院附属协和医院(下称武汉协和医院)骨科刘国辉教授团队在骨科国际顶级期刊《The Journal of Bone and Joint Surgery》(IF=4.716)发表了题为“Characteristics and Early Prognosis of COVID-19 Infection in Fracture Patients”的研究成果。
由于新病例的迅速增加,2019年冠状病毒病(COVID-19)很快引起了全球关注。自2019年12月以来,该病毒已迅速传播到中国大部分地区和其他国家。截至北京时间2020年4月3日10时,全球报告了1010702例确诊的COVID-19和51688例死亡人数(摘自人民日报数据)。随着时间的延长,确诊病例数预期还会大幅度增加。但是,到目前为止,还没有报道过骨折合并COVID-19患者的临床表现。
2020年4月3日,武汉协和医院骨科刘国辉教授及周武博士作为共同通讯作者,在The Journal of Bone and Joint Surgery发表了题为“Characteristics and Early Prognosis of COVID-19 Infection in Fracture Patients”的研究论文。据悉,本篇论文也是全球首篇以论著的形式报道骨折合并新冠肺炎患者的临床表现。
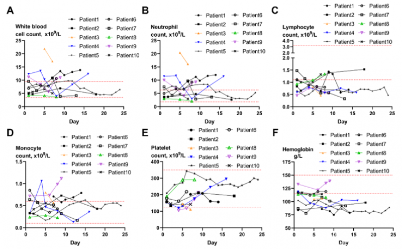
该研究收集了从2020年1月1日至2020年2月27日期间,10例新冠肺炎合并骨折患者的临床资料。研究发现,骨折合并新冠肺炎患者常见的症状为发热、咳嗽、乏力(7例),其他临床表现有喉咙痛(4例),呼吸困难(5例)、头晕(3例)。经查血后发现,6例患者的白细胞小于1.0x109/L,9例患者出现D二聚体升高,9例患者出现CRP明显升高。在本次收集的病例中,3例患者进行了手术治疗,4例患者分别在入院后第8天(3例)和第14天(1例)死亡。

图1 10名患者入院后血常规的检查结果
鉴于骨折合并新冠肺炎患者的临床表现,与单纯新冠肺炎患者相比临床症状更加严重,我们建议在疫情爆发的地区,对于骨折移位不明显及复位后可以达到功能复位标准的患者,应采取积极的保守治疗。而对于可能引起严重后遗症的骨折类型,如开放性骨折,椎体压缩性骨折合并神经损伤等,住院后在充分评估患者生命体征的情况下,可考虑行手术治疗,此类患者在围手术期需配备来自骨科、麻醉科、ICU及呼吸内科的医师,加强对此类患者的生命体征监测和积极的对症治疗。
刘国辉教授、周武博士为文章的共同通讯作者。刘国辉教授以课题负责人主持国家自然科学基金4项,以课题负责人、项目骨干主持国家重点研发计划项目2项,以第一负责人主持国家卫计委重点研发计划2项、省部级科技基金项目12项。课题组成员米博斌博士,陈朗硕士和熊元博士为文章共同第一作者,华中科技大学同济医学院附属协和医院骨科为该论文唯一第一作者、唯一通讯作者单位。刘国辉教授团队在国内外发表专业论文280余篇,其中SCI60余篇,期待将会有更多相关成果产出,助力骨折合并新冠肺炎患者的治疗。
参考文献:
Bobin Mi, Lang Chen, Yuan Xiong, Hang Xue, Wu Zhou, Guohui Liu. Characteristics and Early Prognosis of COVID-19 Infection in Fracture Patients. The Journal of Bone & Joint Surgery, 2020.
作者简介

刘国辉,华中科技大学同济医学院附属协和医院骨科医院副主任、创伤中心主任,教授、主任医师、医学博士、博士生/博士后导师。
刘国辉教授以课题负责人主持国家自然科学基金4项,以课题负责人、项目骨干主持国家重点研发计划项目2项,以第一负责人主持国家卫计委重点研发计划2项、省部级科技基金项目12项。在国内外以第一作者或通讯作者发表专业论文280余篇,其中SCI论文60余篇。
担任《中华创伤杂志》等十余种杂志编委。国际知名期刊《Small》、《Signal Transduction and Target Therapy》等杂志的审稿专家、主编、副主编大型骨科专著4部,以第一申报人获湖北省科技进步二等级、三等奖各一项,申报获批国家专利20余项。

周武,华中科技大学同济医学院附属协和医院骨科博士,主治医师,师从杨述华教授。
致力于骨不连、骨性关节炎及骨质疏松症等骨关节退变和骨代谢性疾病的防治和转化研究。主持湖北省级课题2项,参与国家自然科学基金课题5项,国家重点研发专项项目2项。以第一作者和共通讯作者在Frontiers in Pharmacology、Journal of Cellular Biochemistry、Aging、中华骨科杂志、中华创伤杂志等权威期刊发表十余篇论文,其中SCI论文9篇,总影响影子20余分,获得湖北省科技进步二等奖一项。

米博斌,华中科技大学同济医学院附属协和医院骨科博士,住院医师,哈佛大学医学院联合培养博士及访问学者,师从刘国辉及Dennis Pau Origll教授。
主要从事多发性骨折、难愈性创面的治疗和转化研究。参与国家自然科学基金2项目,以第一作者及共同通讯作者在Small、Carbohydrate Polymer,JBJS等国际著名期刊发表SCI论文20余篇,总影响因子70余分,获中国实用新型专利3项。

熊元,华中科技大学同济医学院附属协和医院骨科博士,哈佛大学医学院联合培养博士,师从刘国辉教授。
主要从事难愈性创面的治疗、多发伤患者骨折愈合的研究、外泌体的研究和应用等基础和临床研究等。目前以第一作者(含共一)在Small、Molecular Therapy-Nucleic Acids、JBJS等国际著名期刊发表SCI论文19篇,总影响因子50余分,以第一作者在中华系列杂志发表论著2 篇,获中国实用新型专利3项。
附JBJS全文:












京公网安备11010502051256号