多发性骨软骨瘤伴前臂畸形的治疗策略
2022-12-26 我要说
来源:中山大学附属第一医院骨肿瘤科
作者:尹军强
骨软骨瘤又称外生骨疣,是儿童期最常见的良性骨肿瘤。多发性遗传性骨软骨瘤病(Multiple Hereditary Exostoses,MHE)是其中一种特殊的疾病类型,发病率约1:50000,占骨软骨瘤病的5-10%。因其瘤体可在全身多处发生及具有家族遗传性而命名。
遗传性多发骨软骨瘤是EXT基因突变引起的常染色体显性遗传疾病,96%的患者在12岁前就能诊断发现,平均诊断年龄为3岁。患者如果不采取积极有效的方法治疗将会引起畸形,影响患者的正常生活工作。
前臂畸形导致外观异常是患儿就诊的主要原因。30%-60%的MHE患者出现不同程度的前臂畸形,出现尺骨生长迟缓、尺桡骨弯曲、下尺桡关节脱位等一系列病理改变,临床表现为尺骨短缩,腕、肘关节畸形和活动障碍(图1)。

图1. 典型多发性遗传骨软骨瘤病患者
一、临床分型
目前对MHE伴前臂畸形患者的最佳治疗方案尚未达成共识。既往传统方法多数采用单纯骨软骨瘤切除术、桡骨短缩截骨矫形术等治疗为主,这些治疗方法虽然能够改善患者的症状。但是长期疗效欠佳,治疗预后较差。
因此,构建针对性的临床分型是帮助手术方式选择及提高术后疗效的有效手段。1989年,日本大阪大学医学院Masada等研究报道了一种适用于MHE致前臂畸形的临床分型(I、IIa、IIb、III型),被广泛接受并沿用至今(图2)。

图2. MHE前臂畸形-Masada分型
2017年,韩国学者Ah Reum Jo等基于Masada分型进行改良,新增了尺桡骨远端并存骨软骨瘤的IVa和IVb型(图3)。

图3. 改进的分型方案
二、手术治疗
手术的类型主要包括骨软骨瘤切除术、桡骨截骨矫形术、尺骨延长等,并以不同的组合方案适用于对应的Masada分型(图4)。

图4. Masada推荐手术方案
Masada等对13例患有MHE伴前臂畸形的患者按术前影像结果及临床症状进行分型,并进行了对应的手术治疗及术后随访复查。随访结果显示这些患者术后均获得了较为理想的疗效(图5)。

图5. 各类Masada分型手术治疗病例
目前对手术适应证尚没有明确的界定,手术时机的选择往往视病情而定。对于畸形相对较轻或自然发育迟缓者,在切除骨软骨瘤后,可到骨骼成熟时再进行骨延长或截骨矫形手术;而对于畸形发生早、进展快且畸形较重者,矫形手术可在骨骼发育成熟前进行。有学者认为尺桡骨相差5mm即可进行骨软骨瘤切除术。
其中,学者们对尺骨延长手术方案的研究讨论较多。尺骨延长可分为一次性延长法及逐步延长法,适用于不同分型。例如,逐步延长法可将尺骨向两端牵引,在前臂骨间膜牵拉下有助于桡骨向远端位移,帮助桡骨头复位,适用于IIb型。尺骨延长的长度是影响术后功能的重要因素。
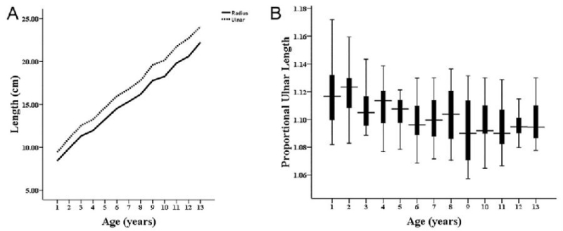
国内学者Huang等发现1-13岁健康儿童尺桡骨长度比值恒定在1.1左右。以此为标准治疗的30名患儿中,桡骨头复位及前臂功能恢复良好者高达93%(图6)。此外,不同医学中心对逐步尺骨延长的速度控制方案也有差异,包括0.75mm/d、1mm/d、0.25mm/6h等等,尚未有明确共识。

图6. 健康儿童尺桡骨长度比值
三、总结与建议
综上,合理的临床分型有助于MHE伴发前臂畸形患儿的治疗方案制定。目前,手术治疗手段仍以骨软骨瘤切除术、桡骨截骨矫形术和尺骨延长为主。手术干预时机和尺骨延长长度及速度等是影响前臂畸形治疗预后的重要因素。因此,多发性遗传骨软骨瘤伴发前臂畸形的治疗适应症及手术方案仍需未来进一步研究探讨。
作为最常见的良性骨肿瘤,普通骨软骨瘤一般可以选择保守观察,但有症状的或已经影响活动的骨软骨瘤常需要手术切除,若已经有畸形的肢体需要通过重建矫形恢复功能,手术相对复杂。因此建议患儿及时就诊,早日获得骨肿瘤科医师的专业治疗意见,以免贻误最佳手术时机。
参考文献:
1. 曹轶伦, 刘傥, 黎志宏,等. 骨痂延长术治疗尺骨远端遗传性多发性骨软骨瘤致前臂畸形的疗效分析[J]. 中国矫形外科杂志, 2013, 21(11):4.
2. 高质钢, 李起鸿. 不同延长速度对延长肢局部血流量及骨愈合的影响[J]. 中华骨科杂志, 1997, 17(8):5.
3. 吕秉乐, 李东升, 田亚敏,等. Ilizarov技术治疗骨软骨瘤继发前臂畸形患者的效果[J]. 贵州医科大学学报, 2020, 45(10):5.
4. Guo Y C , Xing G W , Dong Y Z , et al. Short-term Clinical Observation of Gradual Ulnar Lengthening Combined with Excision of Exostoses to in Treatment of Pediatric Ulnar Shortening Deformity[J]. Clinical Misdiagnosis & Mistherapy, 2015.
5. Wuyts W, Schmale GA, Chansky HA, Raskind WH. Hereditary Multiple Osteochondromas. 2000 Aug 3 [updated 2020 Aug 6]. In: Adam MP, Mirzaa GM, Pagon RA, Wallace SE, Bean LJH, Gripp KW, Amemiya A, editors. GeneReviews® [Internet]. Seattle (WA): University of Washington, Seattle; 1993–2022. PMID: 20301413.
6. Masada K , Tsuyuguchi Y , Kawai H , et al. Operations for forearm deformity caused by multiple osteochondromas[J]. J Bone Joint Surg, 1989, 71(1):24-29.
7. Jo AR, Jung ST, Kim MS, Oh CS, Min BJ. An Evaluation of Forearm Deformities in Hereditary Multiple Exostoses: Factors Associated With Radial Head Dislocation and Comprehensive Classification. J Hand Surg Am. 2017 Apr;42(4):292.e1-292.e8. doi: 10.1016/j.jhsa.2017.01.010. Epub 2017 Feb 27. PMID: 28249791.
8. Usui D, Komura S, Hirakawa A, Ichikawa K, Matsumoto K, Akiyama H. Corrective Surgery for a Forearm Deformity in a Middle-Aged Patient with Multiple Hereditary Exostoses: A Case Report. JBJS Case Connect. 2021 Jun 8;11(2). doi: 10.2106/JBJS.CC.20.00875. PMID: 34101654.
9. D'Arienzo A, Andreani L, Sacchetti F, Colangeli S, Capanna R. Hereditary Multiple Exostoses: Current Insights. Orthop Res Rev. 2019 Dec 13;11:199-211. doi: 10.2147/ORR.S183979. PMID: 31853203; PMCID: PMC6916679.
10. Li Y, Wang Z, Chen M, Cai H. Gradual ulnar lengthening in Masada type I/IIb deformity in patients with hereditary multiple osteochondromas: a retrospective study with a mean follow-up of 4.2 years. J Orthop Surg Res. 2020 Dec 9;15(1):594. doi: 10.1186/s13018-020-02137-z. PMID: 33298090; PMCID: PMC7727121.
11. Peterson HA. Deformities and problems of the forearm in children with multiple hereditary osteochondromata. J Pediatr Orthop. 1994 Jan-Feb;14(1):92-100. doi: 10.1097/01241398-199401000-00019. PMID: 8113381.
12. Huang P, Zhu L, Ning B. Forearm Deformity and Radial Head Dislocation in Pediatric Patients with Hereditary Multiple Exostoses: A Prospective Study Using Proportional Ulnar Length as a Scale to Lengthen the Shortened Ulna. J Bone Joint Surg Am. 2020 Jun 17;102(12):1066-1074. doi: 10.2106/JBJS.19.01444. PMID: 32221177.
文献解读人
尹军强



京公网安备11010502051256号